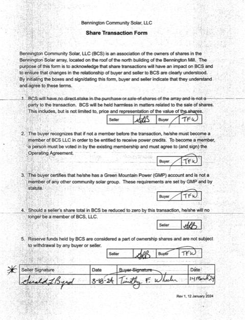
Member Transactions